超火的科普文:宇宙存在仅 138 亿年,为什么我们能看到 460 亿光年的东西?
超火的科普文:宇宙存在仅 138 亿年,为什么我们能看到 460 亿光年的东西?
为什么宇宙的年龄约为138亿年,目前可观测的半径却是460亿光年?听起来这似乎是很让人费解的问题,但学会像天文学家一样思考,你会得出不同的答案。本文译自 Medium 中原标题为“If The Universe Is 13.8 Billion Years Old, How Can We See 46 Billion Light Years Away?"的文章。
当我们谈到宇宙的起源、过去和现在时,很容易被搞得一头雾水。其中不得不谈到的一件事就是宇宙大爆炸,或者说是关于宇宙起源于138亿年前的观点。时至今日我们才能较为准确地描述宇宙:充满物质,辐射,以及构成恒星,星系,行星和人类的要素。那么在宇宙中我们可以看到多远?很多人可能会认为,在一个受光速限制的宇宙中应该是138亿光年(宇宙的年龄乘以光速)。但138亿光年远远小于正确答案,实际上我们可以看到的范围总直径为九百二十亿光年。
为什么是这样?我们可以选择三种直观的方式来思考这个问题,但其中只有一种是正确的。
物质无处不在,同时光以光速移动。这是大多数人的“默认”假想。你可以想象一个充满星系的宇宙,这些星系形成伊始便是宇宙的开端。因此时间越长,我们可以看到的地方越远。所以在138亿年后,减去宇宙大爆炸后形成恒星和星系的时间,我们预计能够看到近 138亿光年。
物质无处不在,光速为c,同时一切物质都可以在空间中移动。这又增加了一个维度,不仅有大量发光的物质,而且这些发光体可以进行相对运动。通过狭义相对论可知,由于它们以光速运动,当光线以光速移向我们时,我们可以想象这种速度是第一种情况的两倍,所以现在的距离可能远达276亿光年。同时它们的光线既可以以光速接近我们,也会以光速离开我们 。
物质无处不在,光速为c,星系也在不断运动中,同时宇宙在扩张。最后一层才是大多数人最难以接受的反直觉的设定。但事实的确如此,空间中充满了物质,它们迅速聚集成行星、星系甚至更大的结构。它们产生的光线全都以c的速度移动,即真空中的光速。之所以这些物质都能在空间中移动,主要是由高密度区域和低密度区域之间的相互引力造成的。所以这才是真正的情况。
但还有一些附加情况,即宇宙本身正在不断扩张中。当你看到一个遥远的星系,如果这个星系比其他的更红,那么就表示它正在远离我们,因为光线被转移到更长(更红)的波长中去了。这就如同逐渐远去的警笛声也会转移到更长的波长和更低的音高上。同时随着宇宙的扩展,空间结构不断延伸,空间中的那些独立光波也会不断于波长中延伸。

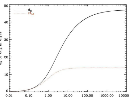
如果你所能测量的只是光线到达你的眼睛时的波长,那么你如何判断它是由于运动还是由于空间结构造成的呢?事实证明,天体的红向移动与观测到的银河亮度之间存在着一种关系,距离是造成这种差异的基本要素。在一个静止的宇宙中,我们可以观察到的最大距离是宇宙年龄的两倍,即276亿光年。但在今天的宇宙中,我们已经观测到比这更远的星系!
那么在任意一处我们到底能看到多远?如果宇宙根本没有暗物质,最远的物体便是恒星,星系,宇宙大爆炸中的余光等,这些物质的距离将被限制在414亿光年(由广义相对论推导而来,即R = 3ct)。但是在一个充满暗物质的宇宙中,这个结果将被远远放大:即460亿光年。

扩张的宇宙中,狭义相对论(虚线)和广义相对论(实心)的预测
把所有这些因素放在一起,这意味着我们在宇宙中可以看到的最远距离为920亿光年。但不要忘了:宇宙还在不断扩大中!这意味着如果我们今天以光速启程,最终也只能达到宇宙直径的三分之一,大约是其体积的3%。换句话说,由于宇宙的扩张和暗能量的存在,即使我们今天以光速行驶测量,97%的可观测宇宙也已经无法到达了。
对于138亿年历史的宇宙来说,920亿光年看起来可能是一个很大的数字,但对于今天充满物质,辐射,暗能量,并遵守广义相对论的宇宙来说,这的确是正确的数字。宇宙本身在扩张,被宇宙所包裹的星系和星系团之间也在不断产生新的空间,这就是宇宙无穷大的原因。鉴于此,如何探寻出宇宙的未来目前还未可知。